重庆农村商业银行股份有限公司2023第一季度报告



展开全文





本行董事会及全体董事保证本公告内容不存在任何虚假记载、误导性陈述或者重大遗漏,并对其内容的真实性、准确性和完整性承担个别及连带责任农村商业银行股票。
重要内容提示
1.本行董事会、监事会及董事、监事、高级管理人员保证季度报告内容的真实、准确、完整,不存在虚假记载、误导性陈述或重大遗漏,并承担个别和连带的法律责任农村商业银行股票。
2.本行董事长谢文辉、主管会计工作的副行长及会计机构负责人高嵩保证季度报告中财务报表信息的真实、准确、完整农村商业银行股票。
3.本行第一季度财务报表未经审计农村商业银行股票。
一、主要财务数据
(一)主要会计数据和财务指标
本季度报告所载财务资料按照企业会计准则编制,除特别注明外,为本集团数据,以人民币列示农村商业银行股票。
单位:百万元 币种:人民币
(二)非经常性损益项目和金额
单位:百万元 币种:人民币
(三)主要会计数据、财务指标发生变动的情况、原因
□适用√不适用
(四)中国会计准则与国际财务报告准则编制的财务报表差异的说明
1. 中国会计准则与国际财务报告准则编制的财务报表差异
作为一家在中华人民共和国注册成立的金融机构,本行按照中华人民共和国财政部颁布的企业会计准则、中国证监会及其他监管机构颁布的相关规定(统称“企业会计准则”)编制包括本行及合并子公司的银行及合并财务报表农村商业银行股票。
本集团亦按照国际会计准则理事会颁布的国际财务报告准则及其解释,以及《香港联合交易所有限公司证券上市规则》适用的披露条例编制合并财务报表农村商业银行股票。本报告中的财务报表在某些方面与本集团按照国际财务报告准则编制的财务报表之间存在差异,差异项目及金额列示如下 :
单位:百万元 币种:人民币
2. 中国会计准则与国际财务报告准则编制的财务报表差异原因
本行于2008年6月27日注册成立为股份有限公司,新成立的股份有限公司收购了原重庆市农村信用合作社联合社、重庆市渝中区农村信用合作社联合社等38家县(区)农村信用合作社联合社及重庆武隆农村合作银行的所有资产及负债(“收购业务”)农村商业银行股票。本行于2009年1月1日首次执行企业会计准则,无需对收购业务中形成的商誉进行确认。本行于2010年12月16日在香港联交所首次公开发行境外上市外资股(H股),并于当年首次采用国际财务报告准则,根据首次执行国际财务报告准则的相关规定,追溯确认了收购业务形成的商誉。
(五)资本充足率
下表列示截至2023年3月末,本集团及本银行根据《商业银行资本管理办法(试行)》计算的各级资本充足率农村商业银行股票。
单位:百万元 币种:人民币
(六)杠杆率
下表列示截至2023年3月末,本集团根据《商业银行杠杆率管理办法(修订)》计算的杠杆率农村商业银行股票。
单位:百万元 币种:人民币
(七)流动性覆盖率
下表列示截至2023年3月末,本集团根据《商业银行流动性风险管理办法》计算的流动性覆盖率农村商业银行股票。
单位:百万元 币种:人民币
(八)季度经营简要分析
2023年1至3月,本集团实现净利润40.14亿元,其中归属于本行股东的净利润39.51亿元,分别较上年同期增长9.35%和9.18%农村商业银行股票。扣除非经常性损益后归属于本行股东的净利润39.05亿元,较上年同期增长9.30%。年化平均总资产回报率1.17%,较上年同期增长0.01个百分点;年化加权平均净资产收益率14.67%,较上年同期增长0.30个百分点。
2023年1至3月,本集团营业收入73.39亿元,较上年同期降低 3.26%农村商业银行股票。其中,利息净收入60.77亿元,手续费及佣金净收入5.22亿元。净利息收益率为1.82%。
2023年1至3月,本集团业务及管理费为24.24亿元,较上年同期增长17.35%农村商业银行股票。成本收入比较上年同期增长5.80个百分点至33.02%。信用减值损失1.30亿元,较上年同期降低87.97%。
截至2023年3月31日,本集团资产总额14,319.53亿元,较上年末增加800.92亿元,增幅5.92%农村商业银行股票。客户贷款和垫款总额6,646.64亿元,较上年末增加319.87亿元,增幅5.06%。其中,本集团公司贷款3,210.68亿元,零售贷款2,907.10亿元,票据贴现528.86亿元。金融投资6,212.01亿元,较上年末增加482.18亿元,增幅8.42%。
截至2023年3月31日,本集团负债总额13,129.73亿元,较上年末增加761.28亿元,增幅6.16%农村商业银行股票。客户存款8,987.62亿元,较上年末增加738.15亿元,增幅8.95%。其中,本集团公司存款1,515.74亿元,个人存款7,391.09亿元,其他存款80.79亿元。
截至2023年3月31日,本集团股东权益总额1,189.80亿元,较上年末增加39.64亿元,增幅3.45%农村商业银行股票。
截至2023年3月31日,本集团不良贷款余额 80.73 亿元,较上年末增加3.56 亿元;不良贷款率 1.21%,较上年末下降 0.01 个百分点;拨备覆盖率 349.62%,较上年末下降8.12个百分点农村商业银行股票。
二、股东信息
(一)普通股股东总数和表决权恢复的优先股股东数量及前十名股东持股情况表
单位:股
注:
(1)香港中央结算(代理人)有限公司持股份数是该公司以代理人身份,代表截至报告期末,在该公司开户登记的所有机构和个人投资者持有的H股股份合计数农村商业银行股票。香港中央结算有限公司持股数是以名义持有人身份受香港及海外投资者指定并代表持有的本行A股股份(沪股通股票)。
(2)报告期末,重庆渝富资本运营集团有限公司持有本行A股988,000,000股,占本行总股本的8.70%;其子公司重庆渝富(香港)有限公司持有本行H股13,246,000股,关联方重庆两江假日酒店管理有限公司、重庆川仪自动化股份有限公司、重庆三峡融资担保集团股份有限公司分别持有本行A股2,000,000股、10,000,000股、15,000,454股,重庆渝富资本运营集团有限公司及其关联方合并持有本行股份1,028,246,454股,合并持股占本行总股本的9.05%农村商业银行股票。
(3)报告期末,重庆市城市建设投资(集团)有限公司持有本行A股797,087,430股,占本行总股本的7.02%;其关联方重庆渝开发股份有限公司持有本行A股30,000,000股,重庆市城市建设投资(集团)有限公司及其关联方合并持有本行A股827,087,430股,合并持股占本行总股本的7.28%农村商业银行股票。
(4)报告期末,重庆发展置业管理有限公司持有本行A股589,084,181股,占本行总股本的5.19%;其关联方重庆发展投资有限公司持有本行A股433,221,289股,占本行总股本的3.81%;重庆发展置业管理有限公司及其关联方合并持有本行A股1,022,305,470股,占本行总股本的9.00%农村商业银行股票。
(5)重庆财信企业集团有限公司持有的本行A股股份于2023年4月13日被司法冻结,冻结股数为1.6亿股农村商业银行股票。
(二)优先股股东总数及前10名优先股股东持股情况表
□适用 √不适用
三、其农村商业银行股票他提醒事项
□适用 √不适用
四、季度财务报表
合并资产负债表
2023年3月31日
编制单位:重庆农村商业银行股份有限公司 单位:千元 币种:人民币 审计类型:未经审计
公司负责人: 谢文辉 主管会计工作负责人:高嵩 会计机构负责人:高嵩
合并利润表
2023年1-3月
编制单位:重庆农村商业银行股份有限公司 单位:千元 币种:人民币 审计类型:未经审计
公司负责人: 谢文辉 主管会计工作负责人:高嵩 会计机构负责人:高嵩
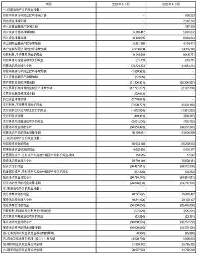
合并现金流量表
2023年1-3月
编制单位:重庆农村商业银行股份有限公司 单位:千元 币种:人民币 审计类型:未经审计
公司负责人: 谢文辉 主管会计工作负责人:高嵩 会计机构负责人:高嵩
母公司资产负债表
2023年3月31日
编制单位:重庆农村商业银行股份有限公司 单位:千元 币种:人民币 审计类型:未经审计
公司负责人: 谢文辉 主管会计工作负责人:高嵩 会计机构负责人:高嵩
母公司利润表
2023年1-3月
编制单位:重庆农村商业银行股份有限公司 单位:千元 币种:人民币 审计类型:未经审计
公司负责人: 谢文辉 主管会计工作负责人:高嵩 会计机构负责人:高嵩
母公司现金流量表
2023年1-3月
编制单位:重庆农村商业银行股份有限公司 单位:千元 币种:人民币 审计类型:未经审计
公司负责人: 谢文辉 主管会计工作负责人:高嵩 会计机构负责人:高嵩
特此公告
董事会
2023年4月27日
证券代码:601077 证券简称:渝农商行 公告编号:2023-014
重庆农村商业银行股份有限公司
本行董事会及全体董事保证本公告内容不存在任何虚假记载、误导性陈述或者重大遗漏,并对其内容的真实性、准确性和完整性承担个别及连带责任农村商业银行股票。
重庆农村商业银行股份有限公司(以下简称“本行”)第五届董事会第二十八次会议于2023年4月27日在本行总行401会议室以现场结合通讯方式召开农村商业银行股票。本行已于2023年4月14日以电子邮件形式发出会议通知和材料,于2023年4月24日以电子邮件形式发出会议补充通知和材料。本次会议应出席董事11名,实际出席董事11名(其中,现场出席董事3名,董事李嘉明先生书面委托毕茜女士代为出席会议并行使表决权,董事胡淳女士、张鹏先生、殷祥林先生、辜校旭女士、宋清华先生、张桥云先生、李明豪先生以通讯方式参会)。会议的召开符合法律、法规、规章和本行章程的有关规定。
本次会议由董事长谢文辉先生主持农村商业银行股票。本次会议审议通过了以下议案:
一、《关于审议重庆农村商业银行股份有限公司2023年第一季度报告的议案》
表决情况:有效表决票11票,同意11票,反对0票,弃权0票农村商业银行股票。
二、《关于提名隋军先生为重庆农村商业银行股份有限公司执行董事候选人的议案》
表决情况:有效表决票11票,同意11票,反对0票,弃权0票农村商业银行股票。
董事会同意提名隋军先生为本行执行董事候选人,隋军先生的执行董事职务将自本行股东大会选举其为执行董事且其任职资格获得中国银行保险监督管理机构核准之日起生效农村商业银行股票。本行独立董事对此发表了同意的独立意见。隋军先生简历详见附件。
三、《关于审议重庆市城市建设投资(集团)有限公司及其关联方的关联交易的议案》
表决情况:有效表决票10票,同意10票,反对0票,弃权0票(董事张鹏先生因关联关系回避表决)农村商业银行股票。
四、《关于审议重庆发展投资有限公司及其关联方的关联交易的议案》
表决情况:有效表决票10票,同意10票,反对0票,弃权0票(董事殷祥林先生因关联关系回避表决)农村商业银行股票。
五、《关于审议重庆渝富资本运营集团有限公司及其关联方的关联交易的议案》
表决情况:有效表决票10票,同意10票,反对0票,弃权0票(董事胡淳女士因关联关系回避表决)农村商业银行股票。
以上议案三、四、五具体详见本行同日在上海证券交易所网站披露的《重庆农村商业银行股份有限公司关于关联交易事项的公告》,本行独立董事对上述议案发表了同意的独立意见农村商业银行股票。
六、《关于审议重庆农村商业银行股份有限公司发行合格二级资本工具的议案》
表决情况:有效表决票11票,同意11票,反对0票,弃权0票农村商业银行股票。
以上议案二、三、四、五、六将提交本行股东大会审议农村商业银行股票。
七、《关于审议〈重庆农村商业银行股份有限公司2023年市场风险限额管理方案〉的议案》
表决情况:有效表决票11票,同意11票,反对0票,弃权0票农村商业银行股票。
八、《关于审议〈重庆农村商业银行股份有限公司2022年度并表管理报告〉的议案》
表决情况:有效表决票11票,同意11票,反对0票,弃权0票农村商业银行股票。
特此公告农村商业银行股票。
重庆农村商业银行股份有限公司董事会
2023年4月27日
附件:
隋军先生简历
隋军,汉族,1968年12月生,中共党员,研究生学历,经济学博士,高级经济师,现任重庆农村商业银行股份有限公司党委副书记农村商业银行股票。隋军先生曾任中国建设银行南充市分行营业部总经理等多个职位,江津市农村信用合作联社党委书记、理事长,重庆农村商业银行股份有限公司江津支行党委书记及行长、总行营业部总经理、总行党委委员、副行长、执行董事、董事会秘书,重庆汽车金融有限公司党委书记、董事长,重庆银行股份有限公司党委委员、副行长。
证券代码:601077 证券简称:渝农商行 公告编号:2023-015
重庆农村商业银行股份有限公司
关于关联交易事项的公告
本行董事会及全体董事保证本公告内容不存在任何虚假记载、误导性陈述或者重大遗漏,并对其内容的真实性、准确性和完整性承担个别及连带责任农村商业银行股票。
重要内容提示:
1. 经重庆农村商业银行股份有限公司(以下简称“本行”) 第五届董事会第二十八次会议审议,同意对重庆渝富控股集团有限公司(以下简称“渝富控股”)给予集团综合授信额度994,233.00万元,对重庆市城市建设投资(集团)有限公司(以下简称“重庆城投”)给予集团综合授信额度1,750,000.00万元,对重庆发展投资有限公司(以下简称“重发投”)给予集团综合授信额度1,750,000.00万元,以上授信期限均为1年农村商业银行股票。
2. 上述关联交易需提交股东大会审议农村商业银行股票。
3. 本次交易不构成对关联方重大依赖,对本行的正常经营活动及财务状况无重大影响农村商业银行股票。
一、 关联交易基本情况
(一)审议程序
本行第五届董事会第二十八次会议审议通过了《关于审议重庆渝富资本运营集团有限公司及其关联方的关联交易的议案》《关于审议重庆市城市建设投资(集团)有限公司及其关联方的关联交易的议案》《关于审议重庆发展投资有限公司及其关联方的关联交易的议案》,上述议案经本次董事会有效表决票全票通过(其中,董事胡淳女士、张鹏先生、殷祥林先生因关联关系回避表决)农村商业银行股票。会议同意对渝富控股给予集团综合授信额度994,233.00万元,重庆城投给予集团综合授信额度1,750,000.00万元,对重发投给予集团综合授信额度1,750,000.00万元,授信期限均为1年。上述议案已经本行第五届董事会关联交易控制委员会第十九次、二十次会议审议通过。
根据中国银行保险监督管理委员会(以下简称“银保监会”)、上海证券交易所(以下简称“上交所”)相关规定,上述关联交易应在本行关联交易控制委员会审批后,提交本行董事会审批,最终需提交股东大会审议农村商业银行股票。
(二)关联关系及关联交易情况
1、渝富控股集团授信关联交易情况
重庆渝富资本运营集团有限公司(以下简称“渝富资本”)持有本行股份占比为8.7%,为本行主要股东之一农村商业银行股票。本次集团授信申报10个成员,其中渝富控股为渝富资本的控股股东,其余9个成员为渝富控股下属企业,另预留额度150,000.00万元,后期由渝富控股及相关集团成员根据具体授信情况按照本行相关规定进行领用。根据《银行保险机构关联交易管理办法》《商业银行股权管理暂行办法》《上海证券交易所股票上市规则》和本行《关联交易管理办法》相关规定,本次集团授信成员均为本行上交所、银保监会口径下的关联方,本次集团授信构成重大关联交易,需提交董事会和股东大会审批。
2、重庆城投集团授信关联交易情况
重庆城投持有本行股份占比为7.02%,为本行主要股东之一农村商业银行股票。本次集团授信申报成员为重庆城投及下属子公司,另预留额度443,041.80万元,后期由重庆城投及相关集团成员根据具体授信情况按照本行相关规定进行领用。根据《银行保险机构关联交易管理办法》《商业银行股权管理暂行办法》《上海证券交易所股票上市规则》和本行《关联交易管理办法》相关规定,本次集团授信成员均为本行上交所、银保监会口径下的关联方,本次集团授信构成重大关联交易,需提交董事会和股东大会审批。
3、重发投集团授信关联交易情况
重发投持有本行股份占比为3.81%,其全资子公司重庆发展置业管理有限公司(以下简称“重发展”)持有本行股份占比为5.19%,为本行主要股东之一农村商业银行股票。本次集团授信申报成员为重发投及其控股子公司,另预留额度716,675.00万元,预留额度后期由重发投及相关集团成员根据具体授信情况按照本行相关规定进行领用。根据《银行保险机构关联交易管理办法》《商业银行股权管理暂行办法》《上海证券交易所股票上市规则》和本行《关联交易管理办法》等相关规定,本次集团授信成员均为本行上交所、银保监会口径下的关联方,本次集团授信构成重大关联交易,需提交董事会和股东大会审批。
二、 关联方介绍
(一)重庆渝富资本运营集团有限公司
渝富资本成立于2004年,法定代表人马宝,注册资本100亿元,实际控制人为重庆市国有资产监督管理委员会,注册地址为重庆市两江新区黄山大道东段198号,经营范围为一般项目:市政府授权范围内的资产收购、处置及相关产业投资,投资咨询,财务顾问,企业重组兼并顾问及代理,企业和资产托管(国家法律法规规定须取得前置审批的,在未取得审批前不得经营)农村商业银行股票。(除依法须经批准的项目外,凭营业执照依法自主开展经营活动)。
截至2022年9月末,渝富资本合并总资产1,120.31亿元,总负债711.68亿元,净资产408.63亿元;2022年1-9月实现营业收入23.33亿元,净利润12.04亿元农村商业银行股票。
(二)重庆渝富控股集团有限公司
渝富控股成立于2016年,法定代表人胡际权,注册资本168亿元,控股股东、实际控制人均为重庆市国有资产监督管理委员会,注册地址为重庆市两江新区黄山大道东段198号,经营范围:一般项目:利用自有资金从事投资业务、投资咨询(不得从事吸收公众存款或变相吸收公众存款、发放贷款以及证券、期货等金融业务),资产管理,企业重组兼并咨询、策划(除依法须经批准的项目外,凭营业执照依法自主开展经营活动)农村商业银行股票。
截至2022年9月末,渝富控股合并总资产2,477.02亿元,总负债1,544.52亿元,净资产932.50亿元;2022年1-9月实现营业收入114.43亿元,净利润13.86亿元农村商业银行股票。
(三)重庆市城市建设投资(集团)有限公司
重庆城投成立于1993年,法定代表人李明,注册资本200亿元,控股股东、实际控制人均为重庆市国有资产监督管理委员会,注册地址为重庆市渝中区中山三路128号,经营范围为:城市建设投资(不含金融及财政信用业务)农村商业银行股票。
截至2022年9月末,重庆城投合并资产总额1,748.87亿元,总负债为564.29亿元,净资产1,184.57亿元;2022年1-9月累计实现营业收入4.29亿元,净利润7.32亿元农村商业银行股票。
(四)重庆发展投资有限公司
重发投成立于2018年,法定代表人何志明,注册资本200亿元,控股股东、实际控制人均为重庆市财政局,注册地址为重庆市渝北区黄山大道中段68号高科山顶总部基地39幢,经营范围为:开展基金、股权、债权等投资与管理,对受托或划入的国有资源、资产和投资形成的资产实施管理、开发、经营,资本运作管理,出资人授权的其他相关业务农村商业银行股票。
截至2022年9月末,重发投合并总资产1,308.58亿元,总负债665.42亿元,净资产643.16亿元;2022年1-9月实现营业收入51.19亿元、净利润3.44亿元农村商业银行股票。
三、关联交易的定价依据
本次关联交易定价依据市场原则,相关条件不优于本行对非关联方同类业务,按照商业原则和一般商业条款进行,并符合本行定价政策农村商业银行股票。
四、关联交易的影响
上述关联交易为本行的正常业务,定价合理,符合监管要求及本行关联交易管理相关规定,对本行正常经营活动及财务状况无重大影响农村商业银行股票。
五、独立董事的意见
上述关联交易在提交董事会审议前已获得独立董事事前认可农村商业银行股票。独立董事发表的独立意见如下:
公司准确识别并界定关联方和重大关联交易,并根据监管要求、《公司章程》及《关联交易管理办法》规定提交董事会进行审议,履行了相应的内部审批程序,尚需提交股东大会审议;公司关于对渝富控股、重庆城投、重发投及其关联方的关联交易,定价依据市场原则,相关条件不优于公司对非关联方同类业务,按一般商业条款进行,并符合公司定价政策,未损害公司及股东,特别是中小股东的利益,符合有关法律、法规及《公司章程》的规定农村商业银行股票。全体独立董事一致同意将上述议案提交股东大会审议。
特此公告农村商业银行股票。
重庆农村商业银行股份有限公司董事会
2023年4月27日
本版导读
重庆农村商业银行股份有限公司2023第一季度报告 2023-04-28









评论